名词解释-Bancor算法
Bancor 算法由 Bancor Network 项目提出应用,希望通过数学公式自动调节数字资产之间的兑换价格。
Bancor算法背后有一套数学模型,这个模型纳入了市场需求的因素,以此来决定token的发行数量和单价。
用来解决流通性不足的问题
使用Bancor算法发行的token直接采用人-机(智能合约)交易,不需要传统数字货币交易需要的对手盘,有效解决了绝大部分小币种流通性不足的问题,相当于以智能合约担当了传统金融市场做市商的角色。
为其代币内嵌价格发现和流动机制。这些“智能代币”能把一个或数个代币作为储备金,让任何人随时通过智能合约快速兑换、销毁代币或储备金。
Bancor白皮书指出。
假设一个智能代币ABCCoin 有一个连接器,该连接器持有一定数量的XYZCoin。此外,假设另一个智能代币NEWCoin,其连接器也持有XYZCoin。那么先将ABCCoin 转换为XYZCoin,然后将XYZCoin 转换为NEWCoin,用户就可以把ABCCoin 转换为NEWCoin。用户只需要进行一个操作,以上过程在后台无缝完成。
Bancor协议用于稳定通证仍存在一些问题。
当前的Bancor协议仅依据订单流决定价格,依赖市场参与者的整体理性,存在比价和发行量脱离基本面的风险。
价格与市场行为间仍是单一的正反馈关系,缺乏自我纠正机制,容易产生泡沫或恐慌。
目前,区块链体系体量较小,大部分参与者使用法币价值维度,通证价格波动剧烈,尚不具备通过Bancor协议创建跨平台稳定通证的条件。
Bancor 白皮书中对定价模型有着十分严谨和详细的说明。
它定义了两类token:
一种是通常会流通使用的 connector token(比如:BTC、ETH、EOS等),当前在流通的总额(或者募集的总资金)
而另一种是作为“超主权”中间媒介的 Smart Token。
为了使得兑换价格满足刚才提到的供需关系,设计的公式中的价格为 connector 的可流通余量(balance)除以 按照一定系数的Smart Token 供应量。
问题:
Smart Token’s total value 如何确定的
smart token 的价格是由连接 connector token 决定的。 有了这些联系就可以使用代数方法计算出价格。
公式中,智能代币表示基于要发行的新代币,连接器表示锚定货币(比如:BTC、ETH、EOS等)。
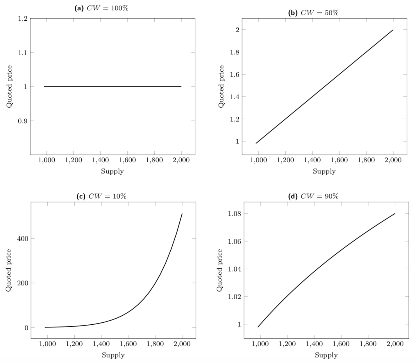
CW 的英文是 Connector Weight,表示设计出来的 Smart Token 的总价值与实际在使用中的 connector 余量间的关系,设计好后为一个固定参数
CW取值在大于0% 至 100%之间,具体由项目团队决定,于CW的不同取值,新代币的价格和市场也呈现出不同的关系,从而对整个社区基于Token的生态价值体系造成不同影响。
EOS 应用 Bancor 算法过程中,并不是将 EOS 和 RAM 直接用价格曲线进行兑换,而是引入了中间 token——RAMCORE,对应于 Bancor 中的 Smart Token。