nanomsg-study

Release 0.1 alpha (20,08,2013)
MIT licensed

协议模式

目前可用的可扩展性协议有:

  • PAIR - 简单的一对一沟通
  • BUS - 简单的多对多通信
  • REQREP - 允许构建无状态服务集群来处理用户请求
  • PUBSUB - 将消息分发给订阅消息的用户
  • PIPELINE - 汇总来自多个来源的消息,并在许多目的点之间进行负载平衡
  • SURVEY - 允许一次查询多个应用程序的状态

对于pull/push,客户端为push,其send数据后,server端会立即接收到

对于rep/req,客户端为req,其send数据后,客户端并不会立即发送给client,客户端必须再执行recv调用后,才会真正send数据

可扩展性协议分层在传输层之上的网络堆栈中,目前nanomsg library支持以下传输机制:

  • INPROC - 进程内的传输(线程,模块等之间)
  • IPC - 在单个机器上的进程间传输
  • TCP - 通过TCP的网络传输

One-to-one protocol

只能一对一通信,为通讯双向。 NN_PAIR

REQREP (Request/reply) protocol

请求/回复协议,由请求端发起请求,然后等待回应端应答,一般是一个REP多个REQ;关键字:NN_REP,NN_REQ。
发送后必须等待接收,是阻塞的
允许构建集群的无状态服务来处理用户请求。每个req请求都需要rep响应,类似http协议(一应一答)。

特点:

  1. 和pair模式不同的是这种模式下客户端socket可以连接多个server
  2. 客户端请求会被交替发送到server组的server

要注意的2个地方:

  1. 客户端的 socket zmq.REQ 发送后会被阻塞直到新消息到来
  2. 服务端的 socket zmq.REP 会阻塞直到新请求到来

然后保证:Each Request/Reply is paired and has to be successful.

一对一的场景:

20190711_160614.png 20190712_173604.png

多对多的场景:
Broker
引入broker后,之前的问题解决了,当增加server端时,不需要修改所有的client端,只需要更新一下broker就好了。

20190711_160702.png

Publish/subscribe protocol

发布订阅协议,将消息广播到多个目的地,消息从NN_PUB发送,并且只会由订阅了匹配主题的NN_SUB接收;这种模式只会发布给在线的订阅端,如果发布端开始发布消息时,订阅端尚未连接,则这些消息会被直接丢弃;同时订阅端只负责接收不能反馈;关键字:NN_PUB,NN_SUB。

20190712_173447.png

Survey protocol

allows to query state of multiple applications in a single go。

调查协议,允许向多个地点广播调查并收集响应,关键字:NN_SURVEYOR,NN_RESPONDENT。

20190712_173517.png

Pipeline protocol

通过一系列步骤传递任务的的协议,这个协议是可扩展的(官方原文:scalability protocol for passing tasks through a series of processing steps.);它可以公平的对来自先前的处理步骤的消息进行排队,并在下一个处理步骤的实例中对它进行负载均衡;关键字,NN_PUSH,NN_PULL。

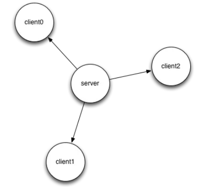
Message bus protocol

simple many-to-many communication。

消息总线(message bus),将消息从任何节点广播到拓扑中的所有其他节点,自身不会收到自己发出去的消息;这种模式只能缩放到本地级别(单个机器或者单个局域网),如果尝试进一步扩展可能会导致单个节点消息过载;关键字:NN_BUS。

20190712_173539.png

Polyamorous Pair (nng only)

Star (mangos only)

Advantages

  1. Aims POSIX full-compliance
  2. Written in C
  3. API for integrating new protocols and transports
  4. command-line tools (nanocat)

Goodbye context !

/* with zeromq */
void *ctx = zmq_ctx_new ();
void *s = zmq_socket (ctx, ZMQ_PUSH);
zmq_connect (s, "tcp://192.168.0.111:5555");
zmq_send (s, "ABC", 3, 0);
zmq_close (s);
zmq_ctx_destroy (ctx);
/* with nanomsg */
int s = nn_msg(AF_SP, NN_PUSH);
nn_connect(s, "tcp://192.168.0.111:5555");
nn_send(s, "ABC", 3, 0);
nn_close(s); /* attention, appel désormais bloquant */

Performances and safety ?

  1. In C
  2. Use intrusive containers instead of STL
  3. Use IOCP on Windows
  4. Level-triggered polling
  5. Objects are no more tied to a thread
  6. Interactions are now associated to state machines
  7. Asynchronous DNS calls

Really zero-copy

void *buf = nn_allocmsg(12, 0);
memcpy(buf, "Hello world!", 12);
nn_send(s, &buf, NN_MSG, 0);
nn_recv(s, &buf, NN_MSG, 0);
nn_freemsg(buf);

nanocat

  1. command line tool for testing and debugging purpose
  2. provides many symlinks to simplify user interface
  3. supports msgpack
# server-side
nanocat --rep --bind tcp://127.0.0.1:8000 --format ascii --data pong
# client side
nanocat --req --connect tcp://127.0.0.1:8000 --format ascii --data ping

!bash nanocat --pub --connect tcp://darthsidious --data "My liege !" --interval 10

transport://address

调用流程

服务端:

char buf[10];
int s = nn_socket(AF_SP, NN_REP);
nn_bind(s, "tcp://*:5555");
nn_recv(s, buf, 10, 0);
nn_send(s, "World", 5, 0);
nn_close(s);

客户端:

char buf[10];
int s = nn_socket(AF_SP, NN_REQ);
nn_connect(s, "tcp://localhost:5555");
nn_send(s, "Hello", 5, 0);
nn_recv(s, buf, 10, 0);
printf("Hello %sn", buf);
nn_close(s);